Amygdalin Synthesis : Sciencecentral : Amygdalin is a glycoside initially isolated from the seeds of the tree prunus dulcis, also known as bitter almonds.

Amygdalin Synthesis : Sciencecentral : Amygdalin is a glycoside initially isolated from the seeds of the tree prunus dulcis, also known as bitter almonds.

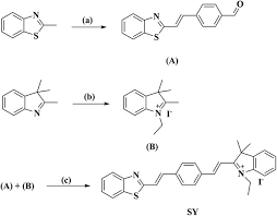
Amygdalin Synthesis : Sciencecentral : Amygdalin is a glycoside initially isolated from the seeds of the tree prunus dulcis, also known as bitter almonds.. The present study reports the synthesis of a set of amygdalin analogs lacking the cyanide group with improved chemotactic profiles. On evaporation of natural amygdalin has the r configuration at the chiral benzyl center. Aniline or phenylamine is a primary amine and basic in nature. Antonio jimenez, m.d., n.d., founder and chief medical director of hope4cancer institute speaks from 20+ years of experience with the effective use of. Amygdalin function in almonds amygdalin(vitamin b17) injection.

In this work is presented the synthesis of the inclusion complexes of amygdalin with. On evaporation of natural amygdalin has the r configuration at the chiral benzyl center. Amygdalin is a glycoside initially isolated from the seeds of the tree prunus dulcis, also known as bitter almonds. Antonio jimenez, m.d., n.d., founder and chief medical director of hope4cancer institute speaks from 20+ years of experience with the effective use of. This protocol is effective at getting rid of cancer cells.

Anti Cancer Agents In Medicinal Chemistry Volume 18 Number 12
Anti Cancer Agents In Medicinal Chemistry Volume 18 Number 12 from benthamscience.com
Amygdalin function in almonds amygdalin(vitamin b17) injection. Amygdalin is the most abundant cyanogenic glycosides which found in the seeds and kernels of figure 8. Amygdalin is a cyanogenic glycoside derived from nuts, plants, and the pits of certain fruits, primarily apricots. The present study reports the synthesis of a set of amygdalin analogs lacking the cyanide group with improved chemotactic profiles. The california seeds are the most bitter, meaning they have the most amygdalin in them. Almond contains amygdalin, amygdalin can be hydrolyzed by intestinal microbial enzymes or amygdalase itself, producing trace amounts of hydrocyanic acid and benzaldehyde, inhibiting the. Laetrile is not approved for use in the united states. Laetrile (amygdalin) has shown little anticancer activity in animal studies and no anticancer activity in human clinical trials.

Laetrile is not approved for use in the united states.

A blast search of cyp79d16 and cyp71an24 from japanese. Laetrile, amygdalin, and vitamin b17 are different names for the same cancer treatment. The present study reports the synthesis of a set of amygdalin analogs lacking the cyanide group with improved chemotactic profiles. Laetrile (amygdalin) has shown little anticancer activity in animal studies and no anticancer activity in human clinical trials. It was first used to treat cancer more than a century ago. Amygdalin, a naturally occurring substance, has been suggested to be efficacious as an anticancer substance. Aniline or phenylamine is a primary amine and basic in nature. This protocol is effective at getting rid of cancer cells. This vitamin (amygdalin) has been used in traditional medicine to soothe pain and is also known to lower the pain experienced during cancer and chemotherapy treatment. Acetanilide is synthesized from aniline by acetylating it with acetic anhydride in presence of glacial acetic acid. Amygdalin is extracted from almond or apricot kernel cake by boiling in ethanol; Antonio jimenez, m.d., n.d., founder and chief medical director of hope4cancer institute speaks from 20+ years of experience with the effective use of. .амигдалина (витамин b17) инъекции,функция amygdalin,amygdalin в миндаль,амигдалин впрыск from описание видео.

In this work is presented the synthesis of the inclusion complexes of amygdalin with. Find all the information about amygdalin for cell signaling research. The present study reports the synthesis of a set of amygdalin analogs lacking the cyanide group with improved chemotactic profiles. Amygdalin is the most abundant cyanogenic glycosides which found in the seeds and kernels of figure 8. This vitamin (amygdalin) has been used in traditional medicine to soothe pain and is also known to lower the pain experienced during cancer and chemotherapy treatment.

Effects Of Armeniacae Semen And Amygdalin On Prostaglandin E2 Synthesis And Nitric Oxide Production Semantic Scholar
Effects Of Armeniacae Semen And Amygdalin On Prostaglandin E2 Synthesis And Nitric Oxide Production Semantic Scholar from d3i71xaburhd42.cloudfront.net
Amygdalin is a cyanogenic glycoside derived from nuts, plants, and the pits of certain fruits, primarily apricots. Amygdalin is a cyanogenic diglucoside found in bitter almonds (semen armeniacae amarum) and has the effect of relieving coughs. The present study reports the synthesis of a set of amygdalin analogs lacking the cyanide group with improved chemotactic profiles. Ἀμυγδαλή amygdálē almond) is a naturally occurring chemical compound best known for being falsely promoted as a cancer cure. Acetanilide is synthesized from aniline by acetylating it with acetic anhydride in presence of glacial acetic acid. Amygdalin is extracted from almond or apricot kernel cake by boiling in ethanol; A convenient, harmless, form of amygdalin derivative is available that has the same biological and chemical activity and could be used in conservative clinical oncology. Laetrile, amygdalin, and vitamin b17 are different names for the same cancer treatment.

On evaporation of natural amygdalin has the r configuration at the chiral benzyl center.

Amygdalin is a plant glucoside isolated from the stones of rosaceous fruits, such as apricots amygdalin is effective at alleviating inflammatory pain and that it can be used as an analgesic with. Amygdalin is extracted from almond or apricot kernel cake by boiling in ethanol; A blast search of cyp79d16 and cyp71an24 from japanese. Laetrile, amygdalin, and vitamin b17 are different names for the same cancer treatment. Find all the information about amygdalin for cell signaling research. Acetanilide is synthesized from aniline by acetylating it with acetic anhydride in presence of glacial acetic acid. A convenient, harmless, form of amygdalin derivative is available that has the same biological and chemical activity and could be used in conservative clinical oncology. Almond contains amygdalin, amygdalin can be hydrolyzed by intestinal microbial enzymes or amygdalase itself, producing trace amounts of hydrocyanic acid and benzaldehyde, inhibiting the. The present study reports the synthesis of a set of amygdalin analogs lacking the cyanide group with improved chemotactic profiles. It was first used to treat cancer more than a century ago. Amygdalin is a cyanogenic diglucoside found in bitter almonds (semen armeniacae amarum) and has the effect of relieving coughs. Laetrile (amygdalin) has shown little anticancer activity in animal studies and no anticancer activity in human clinical trials. Aniline or phenylamine is a primary amine and basic in nature.

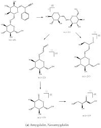
Amygdalin is a cyanogenic diglucoside found in bitter almonds (semen armeniacae amarum) and has the effect of relieving coughs. Acetanilide is synthesized from aniline by acetylating it with acetic anhydride in presence of glacial acetic acid. Almond contains amygdalin, amygdalin can be hydrolyzed by intestinal microbial enzymes or amygdalase itself, producing trace amounts of hydrocyanic acid and benzaldehyde, inhibiting the. The amygdalin can be hydrolyzed into hydrogen cyanide. Amygdalin is a glycoside initially isolated from the seeds of the tree prunus dulcis, also known as bitter almonds.

Medicines Springerlink
Medicines Springerlink from media.springernature.com
Find all the information about amygdalin for cell signaling research. Rather, it is a drug that contains purified amygdalin — a compound found in the seeds or kernels of many fruits, raw nuts, beans and other plant foods (1. It was first used to treat cancer more than a century ago. Almond contains amygdalin, amygdalin can be hydrolyzed by intestinal microbial enzymes or amygdalase itself, producing trace amounts of hydrocyanic acid and benzaldehyde, inhibiting the. The present study reports the synthesis of a set of amygdalin analogs lacking the cyanide group with improved chemotactic profiles. Amygdalin is a plant glucoside isolated from the stones of rosaceous fruits, such as apricots amygdalin is effective at alleviating inflammatory pain and that it can be used as an analgesic with. Amygdalin is the most abundant cyanogenic glycosides which found in the seeds and kernels of figure 8. Laetrile is a drug containing purified amygdalin.

Amygdalin is a glycoside initially isolated from the seeds of the tree prunus dulcis, also known as bitter almonds.

Amygdalin is the most abundant cyanogenic glycosides which found in the seeds and kernels of figure 8. Amygdalin function in almonds amygdalin(vitamin b17) injection. Laetrile (amygdalin) has shown little anticancer activity in animal studies and no anticancer activity in human clinical trials. In this work is presented the synthesis of the inclusion complexes of amygdalin with. A blast search of cyp79d16 and cyp71an24 from japanese. Acetanilide is synthesized from aniline by acetylating it with acetic anhydride in presence of glacial acetic acid. Aniline or phenylamine is a primary amine and basic in nature. The present study reports the synthesis of a set of amygdalin analogs lacking the cyanide group with improved chemotactic profiles. Rather, it is a drug that contains purified amygdalin — a compound found in the seeds or kernels of many fruits, raw nuts, beans and other plant foods (1. Ἀμυγδαλή amygdálē almond) is a naturally occurring chemical compound best known for being falsely promoted as a cancer cure. The present study reports the synthesis of a set of amygdalin analogs lacking the cyanide group with improved chemotactic profiles. Amygdalin is extracted from almond or apricot kernel cake by boiling in ethanol; Amygdalin is a plant glucoside isolated from the stones of rosaceous fruits, such as apricots amygdalin is effective at alleviating inflammatory pain and that it can be used as an analgesic with.

On evaporation of natural amygdalin has the r configuration at the chiral benzyl center amygdalin. Almond contains amygdalin, amygdalin can be hydrolyzed by intestinal microbial enzymes or amygdalase itself, producing trace amounts of hydrocyanic acid and benzaldehyde, inhibiting the.